1)关键路径?2)总工期?3)压缩2天,应压缩哪些活动?(A最多1天,B最多2天,C最多1天,D最多1天)
解析:
关键路径:A-B-E 和 A-C-D-E总工期:11天压缩方案:A压1天 + B压1天(或同时压两条关键路径)
标签 :
某项目 EV = 900 万元,SPI = 0.75。
问:
1)PV
2)SV
3)进度状态
PV = 900 / 0.75 = 1200
SV = 900 - 1200 = -300
结论:进度滞后
某项目总预算(BAC)为 1000 万元。
截至目前,按计划应完成 60% 的工作,实际完成 50%,实际成本为 700 万元。
1)PV、EV、AC
2)CV、SV
3)CPI、SPI
4)项目状态
PV = 60% × 1000 = 600
EV = 50% × 1000 = 500
AC = 700
CV = 500 - 700 = -200
SV = 500 - 600 = -100
CPI = 500 / 700 ≈ 0.71
SPI = 500 / 600 ≈ 0.83
结论:超支 + 进度滞后
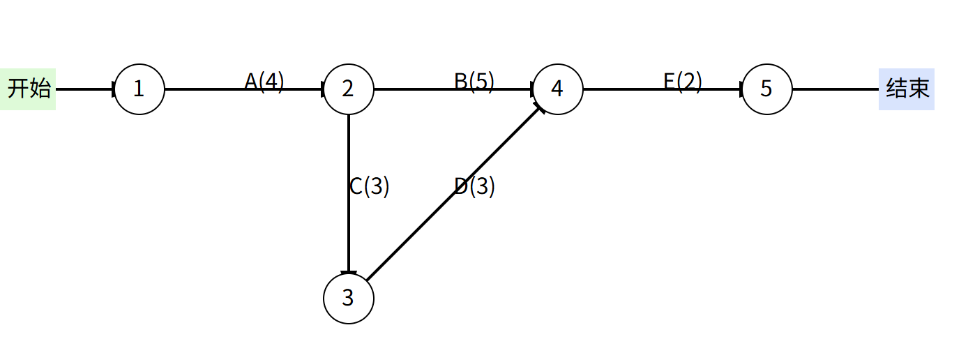
如下双代号网络图(单位:天):
1)找关键路径 2)计算总工期
路径有:
路径1:1 → 2 → 4 = 3 + 4 = 7
路径2:1 → 3 → 4 = 5 + 2 = 7
两条路径长度相同,都是最长路径
关键路径:
1-2-4、1-3-4(双关键路径)
总工期:
7天
某项目:
BAC = 1000 万
EV = 600 万
AC = 800 万
1)基于 BAC 的 TCPI = ?
2)说明后续绩效要求(高/低/难/容易)
TCPI = (BAC - EV) / (BAC - AC)
= (1000 - 600) / (1000 - 800)
= 400 / 200 = 2
后面效率要达到 2(极高)
几乎不可能完成(严重风险)
某项目报告如下:
按计划,到目前应完成工作价值为 500 万元
实际完成工作对应的预算价值为 450 万元
实际已经花费 600 万元
1)PV = ?
2)EV = ?
3)AC = ?
4)CV、SV 各为多少?
PV = 500(按计划应完成)
EV = 450(实际完成预算)
AC = 600(实际花费)
CV = 450 - 600 = -150
SV = 450 - 500 = -50
超支 + 滞后
一项任务的最早开始时间是第3天,最晚开始时间是第13天,最早完成时间是第9天,最晚完成时间是第19天。该任务的总时差、自由时差都是?
总时差=13-3 或19-9=10关键活动(关键路径上的活动)的总时差、自由时差都是0。
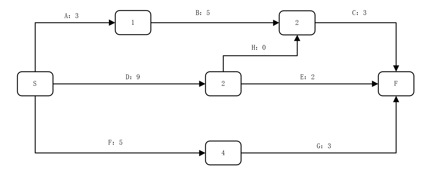
下图中活动G可以拖延()周而不会延长项目的最终结束日期。(单位为周)
注意H是虚活动,虚活动不耗资源,但逻辑路线是通的本题问活动G可以拖延多少周而不会延长项目的最终结束日期,也就是问活动G的浮动时间是多少。此时,应依据网络图首先用顺推法,得出关键路径、项目总工期、每个活动的最早开始时间和最早完成时间。在此基础上,再用逆推法得到每个活动的最迟开始时间和最迟完成时间。最后,算出活动G的浮动时间。对本题而言,应注意虚活动增加的路径。本题的关键路径为D-H-C,项目总工期为12周,活动G所在的路径F-G有4周的浮动时间。
某信息系统集成项目计划贷款 200 万元用于购买服务器设备,贷款期限为 3 年,年利率为 6%。若银行明确规定该笔贷款按单利法计息,则项目经理在 3 年后应归还的本利和是多少万元?
根据单利公式 F=P(1+NÌ),即200(1+3*6%)=236。单利下利息不派生利息。
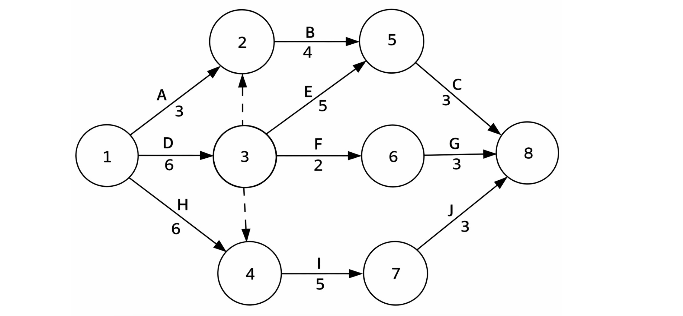
依据下面的项目活动网络图中,该项目历时为( )天。
14天
标签 : 6+5+3